Κυκλώματα διόδων

Για την επίλυση κυκλωμάτων που χρησιμοποιούν διόδους, χρησιμοποιούμε την μέθοδο της αντικατάστασης μιας διόδου με το ισοδύναμο κύκλωμα της. Κατόπιν το κύκλωμα μπορεί να επιλυθεί με τις γνωστές μεθόδους ανάλυσης κυκλωμάτων.

Το μοντέλο μιας διόδου που άγει στο συνεχές ρεύμα αποτελείται από ένα μόνο στοιχείο, συγκεκριμένα μια πηγή τάσης με τιμή 0,7V για διόδους πυριτίου και 0,3V για διόδους γερμανίου. Ο θετικός ακροδέκτης της πηγής τοποθετείται στην άνοδο και ο αρνητικός στην κάθοδο. Όταν η δίοδος δεν άγει, ισοδυναμεί με ανοικτό κύκλωμα.

Αν διαθέτουμε τις τιμές των παραμέτρων της διόδου n και IS μπορούμε να υπολογίσουμε με μεγαλύτερη ακρίβεια την τιμή της τάσης του ισοδύναμου κυκλώματος, αλλά αυτό συνήθως δεν είναι απαραίτητο.

Παράδειγμα: Στο κύκλωμα του σχήματος υπολογίστε το ρεύμα που διαρρέει τη δίοδο και την τάση πάνω στην αντίσταση των 3,3kΩ. Επαναλάβετε τους υπολογισμούς, αν για την δίοδο είναι γνωστό ότι n=1,9 και IS=6nA

Είναι προφανές ότι η δίοδος είναι πολωμένη ορθά με τάση 0,7V στα άκρα της.Το ισοδύναμο κύκλωμα δίνεται στη δεξιά πλέυρά του σχήματος.

Από το ισοδύναμο κύκλωμα προκύπτει: ID = (10V-0,7V) / 3300Ω = 2,8mA
Η τάση πάνω στην αντίσταση είναι VR = 10V-0,7V = 9,3V

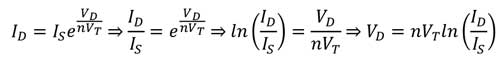
Λαμβάνοντας υπόψη τις παραμέτρους n και IS, η τάση VD στα άκρα της διόδου υπολογίζεται από την εξίσωση του Shockley ως εξής

Με αντικατάσταση έχουμε: VD = 1,9·0,026·ln(2,8·10-3 / 6·10-9) = 0,65V
Επομένως, μια ακριβέστερη τιμή για το ρεύμα της διόδου είναι: ID = (10V-0,65V) / 3300Ω = 2,83mA

Αντίστοιχα, η τάση στην αντίσταση θα είναι VR=10V-0,65V=9,35V Τα δυο αποτελέσματα διαφέρουν μεταξύ τους λιγότερο από 1% και επομένως αποδυκνύεται ότι το απλό μοντέλο της διόδου προσφέρει ικανοποιητική ακρίβεια στους υπολογισμούς.

Παράδειγμα Στο κύκλωμα διόδων του σχήματος η D1 είναι δίοδος πυριτίου και η D2 δίοδος LED πορτοκαλί χρώμα. Υπολογίστε α) την τάση στα άκρα της R2 β) το ρεύμα στην D2 γ) το ρεύμα στην D1

α) Αντικαθιστούμε τις διόδους με τα ισοδύναμα κυκλώματα τους, όπου η τάση στη δίοδο LED στο εγχειρίδιο του κατασκευαστή δίνεται ίση με 2,0V. Η τάση πάνω στην R2 είναι VR2=15V-0,7V=14,3V
β) Το ρεύμα στη D2 υπολογίζεται όπως I2 = (14,3V-2,0V) / 680Ω = 18,1mA
γ) To ρεύμα στη R2 είναι I3 = 14,3V / 2700Ω=5,3mA
Επομένως, το ρεύμα στην D1 είναι I1=I2+I3 => I1=18,1mA+5,3mA=23,4mA

Παράδειγμα: Στο ακόλουθο κύκλωμα να βρεθεί η κατάσταση αγωγιμότητας των διόδων.

Υποθέτουμε ότι και οι δύο δίοδοι είναι σε κατάσταση ΟΝ. Το ισοδύναμο κύκλωμα εικονίζεται στο ακόλουθο σχήμα, όπου στα δεξιά απλοποιείται συνδυάζοντας τις πηγές τάσης.

Επειδή υποθέσαμε ότι οι δίοδοι άγουν, τα δεύματα ID1 και ID2 έχουν φορά όπως δείχνουν οι δίοδοι, δηλαδή από το (+) στο (-) και έχουν τιμές:

ID1 = (14,3V-3,3V) / 3300Ω = 3,33mA (ON) όπου το ρεύμα είναι ίσο με την τάση στα άκρα της αντίστασης δια την τιμή της.
ID2 = (-14,3V/3300Ω) + (3,3V/3300Ω||4700Ω) = -2,62mA (OFF)
όπου για τον υπολογισμό του ρεύματος χρησιμοποιήσαμε την αρχή της υπέρθεσης, υπολογίζοντας το ρεύμα έχοντας ενεργή μια πηγή τάσης κάθε φορά και στο τέλος προσθέτουμε τα δυο ρεύματα για να βρούμε το ρεύμα που διαρρέει την D2

Το πρώτο αποτέλεσμα έχει θετική τιμή, επομένως η δίοδος D1 βρίσκεται σε κατάσταση (ΟΝ), ενώ το δεύτερο αποτέλεσμα έχει αρνητική τιμή, συνεπώς η δίοδος D2 βρίσκεται σε κατάσταση (OFF).

Παράδειγμα: Στο ακόλουθο κύκλωμα να υπολογιστούν τα ρεύματα σε όλους τους κλάδους.

Οι δίοδοι D1 και D2 βρίσκονται σε κατάσταση ΟΝ. Τα δυναμικά στους κόμβους Α και Β υπολογίζονται ως εξής:
VA=12V-0,7V=11,3V και VB=0+0,7V=0,7V

Τα ρεύματα I1, I3 και I4 υπολογίζονται ως εξής:
I1 = (12V-VB) / 1kΩ = (12V-0,7V) / 1000Ω = 11,3mA
I3 =( VA-VB) / 1,8kΩ = (11,3V-0,7V) / 1800Ω = 5,89mA
I4 = VA / 820Ω = 11,3V / 820Ω = 13,78mA

Εφαρμόζοντας το νόμο των ρευμάτων στον κόμβο Α έχουμε
I2=I3+I4 => I2=5,89mA+13,78mA=19,67mA

όμοια εφαρμόζοντας το νόμο των ρεύμάτων στον κόμβο Β έχουμε:
I5=I1+I3 => I5=11,3mA+5,89mA=17,19mA

Για ένα στοιχείο κυκλώματος, ορίζεται η αντίσταση του σαν το πηλίκο της τάσης στα άκρα του δια την τιμή του ρεύματος που το διαρρέει. Για ένα γραμμικό στοιχείο, όπως η (μεταλλική) αντίσταση, η αντίσταση του είναι σταθερή, όπου σε αυτή την περίπτωση λένε ότι αυτό το στοιχείο υπακούει το νόμο του Ωμ.

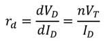
Έστω ότι η συνεχή τάση στα άκρα μιας διόδου έχει τιμή VDQ και για αυτή την τιμή τάσης το ρεύμα που διαρρέει τη δίοδο είναι ίσο με IDQ. Με αυτές τις τιμές για την τάση και το ρεύμα, βρισκόμαστε στο σημείο λειτουργίας Q της χαρακτηριστικής του σχήματος. Η αντίσταση της διόδου στο συνεχές ρεύμα, για το σημείο λειτουργίας Q ορίζεται ως:

RD=VDQ/IDQ

Η dc αντίσταση της διόδου θα έχει διαφορετική τιμή σε άλλα σημεία της χαρακτηριστηκής, καθώς ο λόγος τάση προς ρεύμα διαφέρρει. Η αντίσταση που παρουσιάζει μια δίοδος στο εναλλασσόμενο ρεύμα διαφέρει από την dc αντίσταση της και έχει γενικά μικρότερη τιμή.

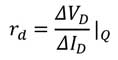
Αναφερόμενοι στο σχήμα, ας υποθέσουμε ότι ενώ βρισκόμαστε στο σημείο Q μεταβάλλουμε την τάση προς τα πάνω και προς τα κάτω από την τιμή VDQ κατά ΔVD. Για αυτή τη μεταβολλή της τάσης, το ρεύμα στη δίοδο θα μεταβληθεί συνολικά κατά ΔID. Υποθέτοντας ότι οι μεταβολές αυτές είναι μικρές σε σχέση με τις συνεχείς ποσότητες VDQ και IDQ ορίζουμε ως ac αντίσταση της διόδου, το λόγο:

Στο όριο, η προηγούμενη σχέση εκφράζει την κλίση της χαρακτηριστικής στο σημείο Q ή μαθηματικά την παράγωγο της τάσης ως προς το ρεύμα σε αυτό το σημείο. Μια αναλυτική έκφραση για την αντίσταση μικρών μεταβολών βρίσκεται παραγωγίζοντας την εξίσωση Shockley:

Η αντίσταση μεταβολών μικρού σήματος είναι ίση με το αντίστροφο του προηγούμενου αποτελέσματος.

Για n=1 και VT=26mV παίρνουμε τη σχέση: rd=26mV/ID

Στα κυκλώματα με διόδους, η διέγερση του κυκλώματος περιλαμβάνει dc και ac πηγές. Οι dc πηγές είναι εκείνες που καθορίζουν το σημείο λειτουργίας του κυκλώματος, δηλαδή τις dc τάσεις και ρεύματα. Οι ac πηγές προκαλούν μικρές μεταβολές των ηλεκτρικών μεγεθών γύρω από το σημείο λειτουργίας.

Θεωρούμε ότι αν το πλάτος της ac μεταβολής είναι τουλάχιστον 10 φορές μικρότερο από την dc τιμής ηρεμίας, τότε δεχόμαστε μικρή μεταβολή στη χαρακτηριστική της διόδου.

Το μοντέλο της διόδου για μεταβολές σήματος μικρού πλάτους, ταυτίζεται με μια αντίσταση τιμής rd=nVT/IDQ όπου IDQ το dc ρεύμα στο σημείο λειτουργίας. Για την dc ανάλυση του κυκλώματος, αντικαθυστούμε τη δίοδο με μια πηγή τάσης 0,7V

Παράδειγμα: Στο κύκλωμα του ακόλουθου σχήματος, η ac πηγή γράφεται ως vi(t)=0,4sinωt. Υπολογίστε α) το συνολικό ρεύμα που διαρρέει τη δίοδο β) την τάση πάνω στο φορτίο RL

Αντικαθιστούμε τη δίοδο με το ισοδύναμο κύκλωμα της.

dc ανάλυση Για την dc ανάλυση αγνοούμε την πηγή vi(t) και την αντίσταση rd. Το dc ρεύμα στο κύκλωμα είναι: IL = (15V-0,7V) / 2200Ω = 6,5mA

Επομένως η dc συνιστώσα της τάσης στο φορτίο είναι: VRL=6,5mA·2,2kΩ=14,3V

ac ανάλυση Στην ac ανάλυση λειτουργεί μόνο η πηγή vi(t). Οι πηγές τάσης των15V και 0,7V αντικαθίστανται από βραχυκυκλώματα. Η δίοδος αντικαθίστανται με την αντίσταση μικρού σήματος, η οποία έχει τιμή rd=26mV / 6,5mA=4Ω

Η τιμή της αντίστασης rd είναι πολύ μικρή σε σχέση με το φορτίο και μπορεί να παραληφθεί. Η ac συνιστώσα του ρεύματος είναι:
il = vi(t) / (rd+RL) =>il = 0,4sinωt / (4Ω+2200Ω) = 0,181·10-3sinωt

Το συνολικό ρεύμα στη δίοδο είναι
iD=IL+il => iD=6,5·10-3+0,181·10-3sinωt

Η ac τάση στο φορτίο υπολογίζεται ως εξής
vl=il·RL => vl=(0,181·10-3)·2200Ω=0,398sinωt

Η συνολική τάση πάνω στο φορτίο είναι:
vL(t)=VL+vl(t) => vL(t)=14,3+0,398sinωt

Παράδειγμα: Στο κύκλωμα του σχήματος, η ac πηγή έχει έκφραση vi(t)=0,2sin2πft με f=1,5kHz. Να υπολογίσετε α) το συνολικό ρεύμα που διαρρέει τη δίοδο β) την τάση πάνω στο φορτίο RL

Θα υπολογίσουμε ξεχωριστά την συνεχή και την εναλλασσόμενη συνιστώσα του ρεύματος στη δίοδο και θα αθροίσουμε τα αποτελέσματα στο πεδίο του χρόνου

dc ανάλυση Στο συνεχές ρεύμα το κύκλωμα διεγείρεται από την πηγή των 2V. Ο πυκνωτής ισοδυναμεί με ανοικτό κύκλωμα στο συνεχές. Το ισοδύναμο κύκλωμα συνεχούς είναι το παρακάτω:

Το dc ρεύμα στο παραπάνω κύκλωμα είναι: ID = (3V-0,7V) / (40Ω+120Ω) = 14,37mA

ac ανάλυση Στο εναλλασσόμενο λειτουργεί μόνο η πηγή vi(t) και ο πυκνωτής ισοδυναμεί με βραχυκύκλωμα. Πράγματι η αντίδραση του πυκνωτή στη συχνότητα της ac πηγής είναι:
XC = 1/2πfC => XC=1 / (2·3,14·1500·2200·10-6) = 0,048Ω

Βλέπουμε ότι η τιμή της αντίδρασης XC=0,048Ω είναι πολύ μικρή σε σχέση με το φορτίο, συνεπώς σωστά θεωρήσαμε τον πυκνωτή σαν βραχυκύκλωμα στο ac.

Αντικαθιστώντας την δίοδο με την αντίσταση μικρού σήματος, που έχει τιμή: rd=VT/ID => rd=26mV/14,37mA=1,81Ω

προκύπτει το ακόλουθο ισοδύναμο κύκλωμα στο ac

Το ρεύμα στο κύκλωμα υπολογίζεται ως εξής:
id = vi(t) / (40Ω+1,81Ω+120Ω||120Ω) = 1,96·10-3sin2π1500t

Επομένως το συνολικό ρεύμα στη δίοδο είναι
iD=ID+id => iD=14,37·10-3+1,96·10-3sin2π1500t

Λόγω της παρουσίας του πυκνωτή το φορτίο δέχεται μόνο την επίδραση της ac πηγής. Η ac τάση πάνω στο φορτίο είναι
vL(t) = vi(t)·(120Ω||120Ω) / (40Ω+1,181Ω+120Ω||120Ω) = 0,12sin2π1500t